downwardsfromzero
Boundary condition
- Merits
- 3
Yes, the water has to have a balanced amount of positively charged (cations) and negatively charged particles. This does not mean that any of them are able to give up electrons to a protonated harmaline molecule.RhythmSpring said:Well, my tap water, even filtered tap water I believe would have both positive and negative ions in it, various minerals, etc., right? Who's to say that using distilled water plus zinc or other minerals of your choosing is more effective or efficient than using tap or well water, which likely has various elements from both the ground and the pipes?downwardsfromzero said:[...]
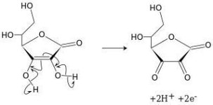
The hydrogen ions in (acidic) water are positively charged. They would need to be balanced out with the addition of a corresponding number of electrons. Where would these electrons come from? Reducing agents provide electrons...
I mean heck, a quick google search shows that common "galvanized" pipes are coated with zinc. Not to mention all the trace minerals in ground water.
It's important to make the distinction between dissolved metallic ions and metals in isolated elemental form. Once the (e.g.) zinc metal has dissolved it no longer has any spare electrons to give up, likewise the other trace dissolved metallic minerals - "trace" also being significant here because the electrons have to be supplied in a corresponding ('stoichiometric') quantity to that of the amount of harmaline being reduced.
Before this gets too complicated, I'll emphasize again that the electrons necessary for the reduction to take place have to come from somewhere sensible. There are plenty of substances in plant material which could fulfil this role, especially if metallic ions of variable valency are present.
Some metals are capable of giving up variable numbers of electrons, like iron, which can typically have a charge of +2 (bivalent) or +3 (tervalent). Bivalent iron in solution is fairly rapidly oxidised to tervalent iron on contact with oxygen from the air, making it an unlikely candidate for THH reduction unless it were acting in a catalytic way by transferring electrons from another reducing substance ('antioxidant') such as ascorbate, flavonoids or tannins.
It's quite conceivable that even in an earthenware vessel, if it were made of a sufficiently iron-rich clay there might be enough iron present to catalyse the THH reduction by transferring electrons from the aforementioned 'antioxidant' substances. Antioxidant = reductant. Prolonged boiling of plant material is, therefore, very different from boiling pure harmaline in pure water.
As for galvanised pipes - the zinc is on the outside, far away from your reaction vessel!
