This maybe a silly question, but I have to ask. This likely has been asked before but I can't find the question.
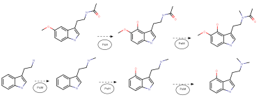
What would happen if one got fresh mushroom and ground them to a soup. Add water and any stuff that keeps enzymes nice and happy (active). Then add a bunch of tryptophan from the vitamin store. Excess amounts. Based on the image below also add ATP to get to (nor) baeocystin. Then one would need S-Adenosyl methionine (SAM) to get to psylocybin. All these added items are available as supplements (SAM is called SAMe I believe).
Would the mushroom benzymes act on the tryptophan with the added supplements and synthesize psylocybin? According to the attached paper all one needs is a few enzymes to be active.
If this works would this be a use for old innactive mushrooms? Could you setup a fermentation bucked with the mushroom enzymes and add the health supplements to get psylocybin?
What would happen if one got fresh mushroom and ground them to a soup. Add water and any stuff that keeps enzymes nice and happy (active). Then add a bunch of tryptophan from the vitamin store. Excess amounts. Based on the image below also add ATP to get to (nor) baeocystin. Then one would need S-Adenosyl methionine (SAM) to get to psylocybin. All these added items are available as supplements (SAM is called SAMe I believe).
Would the mushroom benzymes act on the tryptophan with the added supplements and synthesize psylocybin? According to the attached paper all one needs is a few enzymes to be active.
If this works would this be a use for old innactive mushrooms? Could you setup a fermentation bucked with the mushroom enzymes and add the health supplements to get psylocybin?


